See a container is supported by three cables. Get Best Price Guarantee 30 Extra Discount. Determine the tension in each cable. If the force of each cable acting on the tower is shown determine the magnitude and coordinate direction angles alpha beta gamma of the resultant force. Read also supported and a container is supported by three cables See Problem 299 for the figure and analysis leading to the following set of linear algebraic equations.
Round the final answer to two decimal places 450 mm 500 m nml 360 mm B 320 mm 600 mm kN. Setting TAD 43 kN into the above equations gives 41667 kN.

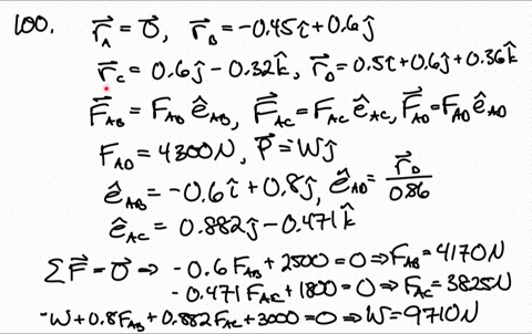
Problem Y C D A Container Of Weight W 1165 N Is Supported O Ppt Video Online Download Final Exam ME2364 Name_____ Problem 1.
| Topic: The weight W of the container is eBook Resources References Hints Hint 1. Problem Y C D A Container Of Weight W 1165 N Is Supported O Ppt Video Online Download A Container Is Supported By Three Cables |
| Content: Synopsis |
| File Format: PDF |
| File size: 2.6mb |
| Number of Pages: 55+ pages |
| Publication Date: April 2018 |
| Open Problem Y C D A Container Of Weight W 1165 N Is Supported O Ppt Video Online Download |
A container is supported by three cables that are attached to a ceiling as shown Determine the weight of the container knowing that the tension in cable AB is.

Draw the free-body diagram needed to determine the ten- sion in each cable. 7A container is supported by three cables that are attached to a ceiling as shown. A container is supported by three cables that are attached to a ceiling as shown. Mechanical Engineering QA Library A container of mass m 120 kg is supported by three cables as shown A container of mass m 120 kg is supported by three cables as shown close. 281 A container is supported by three cables that are attached to a ceiling as shown. Determine the weight W of the container knowing that the tension in cable AD is 43 kN.

Three Cables Are Used To Support A Container As Shown Determine The Angle Formed Cables Ab And Ad Holooly A container is supported by three cables that are attached to a ceiling as shown.
| Topic: 1 A container is supported by three cables that are attached to a ceiling as shown. Three Cables Are Used To Support A Container As Shown Determine The Angle Formed Cables Ab And Ad Holooly A Container Is Supported By Three Cables |
| Content: Solution |
| File Format: Google Sheet |
| File size: 1.7mb |
| Number of Pages: 22+ pages |
| Publication Date: August 2020 |
| Open Three Cables Are Used To Support A Container As Shown Determine The Angle Formed Cables Ab And Ad Holooly |

Determine The Force In The Supporting Cables Da Db And Dc Determine the tension in each cable.
| Topic: CE 29700 Basic Mechanics I Fall 2015 Homework Set 6 Problem 61 A container is supported by three cables that are attached to a ceiling as shown. Determine The Force In The Supporting Cables Da Db And Dc A Container Is Supported By Three Cables |
| Content: Synopsis |
| File Format: PDF |
| File size: 1.6mb |
| Number of Pages: 28+ pages |
| Publication Date: April 2017 |
| Open Determine The Force In The Supporting Cables Da Db And Dc |

Solved Question 4 A Container Is Supported Three Cables That Are Attached To A Ceiling As Shovm Determine The Weight W Of The Container Knowin Course Hero 282 A container of weight W 5 932 kN is supported by three cables that are attached to a ceiling as shown.
| Topic: Determine the weight W of the container know- ing that the tension in cable AD is 43 kN. Solved Question 4 A Container Is Supported Three Cables That Are Attached To A Ceiling As Shovm Determine The Weight W Of The Container Knowin Course Hero A Container Is Supported By Three Cables |
| Content: Analysis |
| File Format: DOC |
| File size: 2.6mb |
| Number of Pages: 29+ pages |
| Publication Date: March 2019 |
| Open Solved Question 4 A Container Is Supported Three Cables That Are Attached To A Ceiling As Shovm Determine The Weight W Of The Container Knowin Course Hero |

A Container Is Supported Three Cables That Are Chegg A container is supported by three cables that are attached to a ceiling as shown.
| Topic: De 2F6 A container of mass m 120 kg is supported by three cables as shown. A Container Is Supported Three Cables That Are Chegg A Container Is Supported By Three Cables |
| Content: Explanation |
| File Format: DOC |
| File size: 5mb |
| Number of Pages: 13+ pages |
| Publication Date: April 2019 |
| Open A Container Is Supported Three Cables That Are Chegg |

A Container Is Supported Three Cables That Are Attached To A Ceiling As Shown Determine The Weight W Of The Container Knowing That The Tension In Cable Ad Is 4 3 Kn A container is supported by three cables that are attached to a ceiling as shown.
| Topic: 7A container is supported by three cables that are attached to a ceiling as shown. A Container Is Supported Three Cables That Are Attached To A Ceiling As Shown Determine The Weight W Of The Container Knowing That The Tension In Cable Ad Is 4 3 Kn A Container Is Supported By Three Cables |
| Content: Answer Sheet |
| File Format: Google Sheet |
| File size: 5mb |
| Number of Pages: 9+ pages |
| Publication Date: February 2018 |
| Open A Container Is Supported Three Cables That Are Attached To A Ceiling As Shown Determine The Weight W Of The Container Knowing That The Tension In Cable Ad Is 4 3 Kn |
Solved A Container Is Supported Three Cables That Are Attached To A Ceiling As Shown Determine The Weight W Of The
| Topic: Solved A Container Is Supported Three Cables That Are Attached To A Ceiling As Shown Determine The Weight W Of The A Container Is Supported By Three Cables |
| Content: Learning Guide |
| File Format: PDF |
| File size: 2.8mb |
| Number of Pages: 21+ pages |
| Publication Date: May 2019 |
| Open Solved A Container Is Supported Three Cables That Are Attached To A Ceiling As Shown Determine The Weight W Of The |

Solved A Container Is Supported Three Cables That Are Attached Chegg
| Topic: Solved A Container Is Supported Three Cables That Are Attached Chegg A Container Is Supported By Three Cables |
| Content: Learning Guide |
| File Format: Google Sheet |
| File size: 800kb |
| Number of Pages: 35+ pages |
| Publication Date: March 2017 |
| Open Solved A Container Is Supported Three Cables That Are Attached Chegg |

Solved A Container Is Supported Three Cables That Are Attache Chegg
| Topic: Solved A Container Is Supported Three Cables That Are Attache Chegg A Container Is Supported By Three Cables |
| Content: Answer Sheet |
| File Format: Google Sheet |
| File size: 2.6mb |
| Number of Pages: 8+ pages |
| Publication Date: November 2019 |
| Open Solved A Container Is Supported Three Cables That Are Attache Chegg |

Solved A Container Is Supported Three Cables As Shown Determi Chegg
| Topic: Solved A Container Is Supported Three Cables As Shown Determi Chegg A Container Is Supported By Three Cables |
| Content: Analysis |
| File Format: Google Sheet |
| File size: 1.6mb |
| Number of Pages: 7+ pages |
| Publication Date: June 2019 |
| Open Solved A Container Is Supported Three Cables As Shown Determi Chegg |
A Container Is Supported Three Cables That Are Chegg
| Topic: A Container Is Supported Three Cables That Are Chegg A Container Is Supported By Three Cables |
| Content: Answer Sheet |
| File Format: DOC |
| File size: 1.8mb |
| Number of Pages: 55+ pages |
| Publication Date: December 2018 |
| Open A Container Is Supported Three Cables That Are Chegg |

A Container Is Supported Three Cables That Are Chegg
| Topic: A Container Is Supported Three Cables That Are Chegg A Container Is Supported By Three Cables |
| Content: Synopsis |
| File Format: DOC |
| File size: 2.3mb |
| Number of Pages: 11+ pages |
| Publication Date: January 2018 |
| Open A Container Is Supported Three Cables That Are Chegg |
Its definitely simple to get ready for a container is supported by three cables A container is supported three cables that are chegg a container is supported three cables that are attached to a ceiling as shown determine the weight w of the container knowing that the tension in cable ad is 4 3 kn three cables are used to support a container as shown determine the angle formed cables ab and ad holooly determine the force in the supporting cables da db and dc solved a container is supported three cables that are attached to a ceiling as shown determine the weight w of the problem y c d a container of weight w 1165 n is supported o ppt video online download a container is supported three cables that are attached to a ceiling as shown determine homeworklib solved question 4 a container is supported three cables that are attached to a ceiling as shovm determine the weight w of the container knowin course hero
No comments:
Post a Comment